George Rebane
Daily we hear of another discovered tranche of uncounted votes. And these announcements are followed by a chorus of leftwingers (Democrats and their talking heads) pooh-poohing the latest discovery because it isn’t enough to swing the majority. These come with admonitions that such efforts should cease because they ‘prove’ that there are not enough such remaining votes to make a difference. Actually, that is not only a self-serving criticism of the continuing effort to find more uncounted votes, but it is also a profoundly illogical conclusion and most certainly a very unscientific deduction to come from the party of science.
I’ll soon get to the technical aspects of why it pays to keep looking, but there is also a simpler explanation that is accessible to wider audiences. The bottom line may be summarized as the ‘tip of the iceberg’ principle. When you find some more of which you already know there are many more, then there’s a good chance that what you found is neither the only nor the last of such a thing to be found. If the find is valuable, you keep on looking for more. This satisficing policy evolved into critters of ALL sizes hundreds of millions of years ago – when you find some food in a region that does not completely satisfy your hunger, you don’t assume that this was the last morsel to be found and you quit looking – not at all, you look around for more.
This policy can now be grounded on some serious science of probabilistics. Readers may recall that several years ago (2014) I introduced physicist Richard Gott’s work in the calculation of probabilities for arcane questions like how long can the human species expect to survive on earth. Unfortunately, Gott didn’t express his results in a more comprehensive or clear manner, and his work lay fallow in the mountain of scientific literature. As a result, and to quote from ‘…, and this too shall pass’ –
“And then I came along – ta-daa!! Plowing through (Gott’s) paper I was struck by the apparent unrecognized utility of Gott’s theory to the analysis of what we may call minimally known processes (MKPs). It was immediately clear to me that in our daily round we are awash in such processes, but very few of us are able to identify them as MKPs, and fewer still have heard of Gott. Since my professional activities continue in various areas of uncertainty, I recognized a diamond in the rough and got to work. My humble contribution from the effort has been a clear derivation of a simple and elegant formula for Gott’s probability, that I then extended to support dealing with arbitrary future time intervals, and finally demonstrate the complete scalability of the theory. (For those still awake, we will carry on and promise an intriguing reward to the persistent reader. Nothing beyond clear thinking and the ability to punch numbers into a couple of simple formulas is required.)”
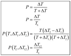
Actually, since 2014 I’ve done even more work in this area (e.g. here) and have now extended the R-G theory of MKPs to processes that consist of a sequence of arbitrarily timed discrete events, the discovery of discrete tranches of votes is but an example of such minimally known event-driven processes. As a quick review, we first consider continuous time MKPs for which all that we know is only their age OR their expected lifetime – i.e. the length of time T that they have been going on, or their lifetime TL. We ask and answer the question, ‘what is the probability that the MKP will stop in the next time interval ΔT?’ These probabilities are given in the first two equations below. Then we answer the more comprehensive question, ‘what is the probability that the MKP will stop during in the time interval ΔT12 = ΔT2 – ΔT1 that begins at an arbitrary future time ΔT1 from now and then ends ΔT2 from now?’ These probabilities are given in the third and fourth equations below.
And then we look at MKPs consisting of a sequence of discrete events about which only the number N of such past events is known OR processes about which we only know the total number of events NL before it halts. Here we ask the question, ‘what is the probability that the discrete MKP will halt with at most n (greater than zero) more events?’ These probabilities are given in the first two equations below. Then we also expand to the more comprehensive question, ‘what is the probability that the MKP will halt within at most n more events after having survived nF events in the future?’ These probabilities are given in the third and fourth equations below.
So, let’s calculate a few of these probabilities. A natural first question to ask is ‘Now that we’ve found the first tranche of uncounted votes in (state), what’s the probability that this was the only tranche of uncounted votes, i.e. that we won’t find any more such tranches?’ Well, we know that this minimally known process has started and that N = 1. So what is the probability that the next discovery will be the last one, i.e. that with n = 1 the process ends? We use the first equation from the above figure to get 1/(1+1) = 0.5 = 50%. This also says that there’s a 50% chance that more than one tranche of uncounted votes will be found.
Another way of looking at it is to ask ‘what is the chance that this single find of uncounted votes will be the only one?’ This is the same as asking what is the chance that we will find any number of more tranches, i.e. that the discoveries will end before a very large number n of more tranches will be found. Putting a large number, say, n = 1000, into the first equation gives 1000/(1+1000) = 0.999 or almost 100% chance that the process will end with no more than 1000 additional tranches found. That also says that the probability that the MKP ended with its first find is vanishingly small, i.e. it pays to keep looking.
This morning (18nov20) we heard on the news that in Georgia they have now found four tranches of uncounted votes. Using our above formula, we can calculate the probability that there will be only one more tranche left to find, n = 1, is 1/(4+1) = 0.2. Another way of looking at this is that there’s an 80% chance that two or more tranches of uncounted votes will be found if the search continues. The obvious policy would then be to keep on looking in order to discover more uncounted votes and restore confidence in Georgia’s election process.
[20nov20 update] From the comment stream below, there seems to be some confusion as to the intended takeaway from the above development and commentary. The purpose of applying some relevant probabilistics to the effort to discover additional uncounted votes is to illustrate and quantify the chances for success in persevering in such pursuits. My intent here is not to analyze or counsel anyone on the larger question of whether, how, and for how long should contesting the election’s evolving outcome be carried out. But I do submit that knowing what the chances are for finding additional uncounted votes is a factor that should weigh on the larger question.
Reading such technological essays with incomplete understanding (or poor reading skills) often inspires leftists to expand the topic considered, and attribute to the author all manner of unexpressed intentions. This in the vein of the revolutionary Jacobins who sent thousands to the guillotine with nothing more than the indictment that ‘We know what you were really thinking”, followed a fortiore on the exact synthesized nature of the unspoken dastardly thoughts and intentions. Over the years the comment streams of RR have been populated by countless such diatribes directed against me and other commenters of the wrong political coloration. I suppose there is no point in hoping that such ripostes, no matter how illogical or unreasonable, will ever cease; at a minimum they are grasped opportunities for launching barbs.
Addendum – For those wishing to delve into the details of how the above formulas were derived, please download the following technical notes.
- Rebane, G.J., TN0708-1: Predicting the Lifetime of Minimally Known Processes – Gott Extended Download TN0708-1_GottExtensionConfirmation190120
- Rebane, G.J., TN1411-1: Gott’s future duration, …, and this too shall pass Download TN1411-1_and this too shall pass
- Rebane, G.J., TN1902-1: Predicting Termination of Minimally Known Ongoing Processes Download TN1902-1_lifetimeMKP
- Rebane, G.J., TN2011-1: R-G Probabilities for Discrete Events Download TN2011-1_DiscreteEventR-Gprobs




Leave a comment