George Rebane
When there’s a problem, don’t bet against government as being its source.
For the Rebanes today is HD23. Given the comment stream under the 26mar20 posting of HDD, in addition to sharing my own hunker down doings, I am going to make this an ongoing repository of readers’ experiences, views, and opinions concerning the Covid19 pandemic. Hopefully we will draw strength and get a laugh or two from each other’s fears, feats, and foibles as we cope and spend time with family (and friends?) in close quarters for the duration.
Jo Ann and I have taken this time to finish long-languishing projects, add to our already extensive reading lists, and continue our normal intercourse with family and friends through new means of distance socializing. My own direction has been, unsurprisingly, to look at our cultural changes and public policies that are driven by the current social distancing and economic slowdown. When we emerge on the other side, things are going to be markedly different in how we conduct our lives. I intend to offer a structured list of the affected areas which I hope will draw some stimulating discussion and, of course, expansion from the fertile minds of RR readers.
In the meantime, I share with you the scariest news I’ve heard about C19 that was just published by the LA Times (here or here) – the virus is definitely and pervasively transmitted by aerosols exhaled by pre-symptomatic infected people, aerosols which can dwell for hours suspended in the air we breathe.
An interim C19 ‘vaccine’? On the more hopeful side, the biggest and most suppressed news is about the efficacy of hydro-chloroquine (HCQ) in protecting against C19 onset, and the combination of HCQ and azithromycin (AZM) in treating the disease after onset of symptoms. Multiple reports have now emerged about the successes in the use of these drugs in controlled hospital settings here and abroad. (here and here) So here’s an idea for a possible interim C19 vaccine from Dr Rebane (PhD NOT MD) – administer a sequence or combination of (weakened if possible) C19 virus and/then HCQ, either one after the other, say, a day apart, or together in a cocktail. The hopeful idea being that the virus would set off the body’s natural mechanism for producing C19 antibodies, and the presence of HCQ would ameliorate the onset of the disease, allowing the individual to recover with an effective level of immunity. I wouldn’t recommend this to people with pre-existing medical conditions that already make them more vulnerable to C19. Anyway, as always, readers’ thoughts on this are most welcome.
On the more mundane side, it’s worth noting with some alarm that our stores continue to be out of sanitary and paper products. Hunker down hoarding continues to take its toll on many things, and now more than ever since President Trump has extended the HD advisory to last through April.
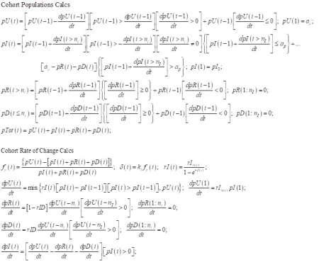
Finally, my little fevered brain, long used to noodling about technical esoteria, has been working on a home-brewed epidemiological spreading model in order to examine quantitatively the effects of certain epidemic response policies and the potential impact of medical interventions. So, as a systems modeler I read a couple of papers on such models and found them unnecessarily obtuse, and altogether unavailable for simply downloading and playing with them. I call my home brew Epidyne2 which has at least the complexity of the models used by the big kids, and can answer most (all?) the same questions. Right now I’m going through the final phases of debugging and testing the code, and I’ll share the complete model in spreadsheet form so that anyone who is interested can play with it. The spread of a contagious disease in a constrained population is a fascinating and highly non-linear process, and also very revealing when you get to play with what I will offer as a perhaps not-so-toy tool.
Anyway, to whet your curiosity, here’s an output plot of a test run. In this scenario the total vulnerable and uninfected population (popU) numbers 100M (say, the approx US pop who don’t isolate themselves and remain vulnerable). The disease starts with the introduction of 1,000 infected people (popI). The timescale (horizontal axis) is in weeks. The reproduction rate of the disease (rI) is variable, and is a function of the various population cohorts that employs some nice mathematics to account for what epidemiologists call ‘herd immunity’ which plays a critical part in how contagious diseases spread in a population.
The plot displays five population cohorts over a period of 60 weeks – popTot (cyan) is the total vulnerable population which in this scenario remains constant, but which can also be varied to study the effects of different levels of time-dependent imposed quarantines and self-isolation. popU (blue) is the uninfected population. popI (red) is the infected population (here we take the C19 experience that once a person becomes infected, he will take nI = 4 weeks to either die or recover and be immune. The recovered cohort is popR (green), and the dear departed is popD (black).
Here we see that the disease plays itself out in less than 25 weeks from onset. The maximum number infected (popI) will number about 62M in week 18. The appropriately time-lagged recovered (popR) and deceased (popD) cohorts stabilize at 72.5M and 2.25M respectively. In this scenario I have set at two the max weekly reproduction rate (rImax) per pre-symptomatic person and the death rate (rD) at 3%. This rate will reduce as herd immunity takes effect. And, as shown, the disease plays itself out with approximately 25M having never been infected.
For those who can’t wait for my post on Epidyne2, and want to examine in more detail, or perhaps even program up the model in spreadsheet form (a formidable undertaking), I will offer the iterative equations in an update to this post.
[Update] Here is the complete Epidyne2 model that can be programmed into Excel. Click on image to get a more readable version.




116 responses to “Hunker Down Diary – 30mar20 (updated)”
Dear Diary.
Finally went to buy TP. The dude last Monday said come Sunday, so I went this morning. Saw the big rig at the side of building. Raining hard. The toilet paper aisle was empty. “Dang it”, I reckoned moi arrived too early. Only 3 other people in store, all wearing masks. I felt naked, being maskless. As I was turning around to leave, I heard the cashier asked an elderly gentleman if he would like to buy TP or paper towels. She had the precious cargo behind the counter. Timing is everything. I went straight to the cashier and bought a 12 pack of ass wipe as soon as the customer left. In and out in two minutes. I knew it would be easy if I just bided my sweet time. 12 rolls should last me 9 months. Bring it on. Been out of paper towels for months, but, feeling rather extravagant , I bought a pack of paper towels, too. Dunno why, wash rags work great.
Since the Great Blackout of Fall, 2019, I am still using the old relic percolator for coffee. Tastes better and enjoy watching the glass top on the lid doing its thing. And I got hooked on wash clothes and old towels in lieu of paper towels. Makes me feel in touch with my inner child.
I love you, Dear Diary. PS: hoarding is based on fear. Living in fear is no way to go through life. What’s the big deal about grabbing the Charmin? Don’t touch the Charmin. . It was easy-peasey……much ado about nothin’.
We will all be wearing masks now.
LikeLike
re: BillT@11:56AM
I was thinking about you while I was watching the commercial Scott giant toilet rolls sell out on Amazon yesterday. I should have bought a case as gifts.
Now that even Joe Rogan has bent the knee…
https://www.washingtontimes.com/news/2020/apr/4/joe-rogan-says-he-would-rather-vote-for-trump-than/
I coulda repackaged them as MAGA rolls and gave them to the deserving.
LikeLike
A tid bit for the TDS set –
https://www.breitbart.com/clips/2020/04/03/fmr-u-s-ambassador-to-japan-hagerty-china-handling-of-coronavirus-crime-of-the-century-greatest-cover-up-in-human-history/
😉
LikeLike
Imagine, if you will, the Ultimate Troll Master invoking the Defense Production Act and forcing the NYT and Wa Compost to start making toilet paper instead. Oh my.
LikeLike
Busted –
An editorial in The Detroit News slammed Michigan Gov. Gretchen Whitmer, accusing her of playing politics during the coronavirus pandemic.
“Gov. Gretchen Whitmer must send an unequivocal message to her constituents that Michigan is her priority in this hour of crisis,” the editorial, which was published on Saturday, said. “Her running feud with President Donald Trump calls into question whether she’s acting in the best interests of this state, or on behalf of the Democratic Party.”
https://www.foxnews.com/media/michigan-gov-whitmer-slammed-by-home-state-paper-for-playing-politics-in-middle-of-coronavirus-crisis
😉
LikeLike
Dear Diary
Things are getting weird. Last night around 2 AM I was walking the dogs in the pouring wind driven rain down the country lane in the sticks when two Chinese fellows jumped out of the bushes yelling, “This is MAGA Country!”, and then coughed on me.
LikeLike
For what its worth….
Forecasting Model Predicts When Each State Will Likely Hit Coronavirus Peak, Gives Possible Total Deaths
https://www.dailywire.com/news/forecasting-model-predicts-when-each-state-will-likely-hit-coronavirus-peak-gives-possible-total-deaths
LikeLike
donb@2:02
https://www.detroitnews.com/story/opinion/editorials/2020/04/04/editorial-whitmer-must-make-michigan-her-priority/5111367002/
from the editorial
“That creates confusion about whether Whitmer is advocating for her Michigan constituents, or carrying out her duties as co-chair of Joe Biden’s presidential campaign, or worse, serving her own ambition to be vice president.”
OK, I get it. Nothing to see here. State narrowly won by Trump with a fair number of electoral college votes, check. Female, check.
Huh. Greater than zero chance that she’s the next President. That definitely makes my leg tingle in a bad way.
LikeLike
billt: “two Chinese fellows jumped out of the bushes yelling, “This is MAGA Country!”, and then coughed on me.”
You were safe as long as they weren’t wearing split-crotch pants.
LikeLike
re: toilet paper
https://marker.medium.com/what-everyones-getting-wrong-about-the-toilet-paper-shortage-c812e1358fe0
LikeLike
Someone should check to see if a certain Nevada city tinfoil hat wearing politician was there. LOL –
https://www.foxnews.com/tech/cell-towers-torched-after-conspiracy-theory-links-5g-coronavirus-pandemic
😉
LikeLike
Forgetabout TP try getting a freezer if you didn’t have one. –
Looking for a freezer to store your coronavirus stockpile? You’re not alone in being frozen out
https://finance.yahoo.com/news/looking-freezer-store-coronavirus-stockpile-222601387.html
😉
LikeLike
Dear diary
https://www.facebook.com/groups/442017982919984/permalink/913083245813453/
LikeLike
There is going to be a reckoning –
Senate Homeland Security Committee member Rick Scott, R-Fla., told “Tucker Carlson Tonight” Monday Congress must investigate the World Health Organization over its handling of the coronavirus pandemic.
Scott accused the global health agency of doing “work for Communist China.”
WHO DIRECTOR TEDROS ADHANOM GHEBREYSEUS FACES CALLS FOR RESIGNATION OVER HANDLING OF CORONAVIRUS, CHINA
“At first they said in a tweet [Jan. 14] that there was no evidence that there was human to human transmission. Lie. Then they said on the 20th or something, ‘China’s doing a great job’. Lie,” Scott said.
The U.S. taxpayers contributed $513 million to the WHO in 2017, up from $341 million the prior year, according to the Kaiser Family Foundation.
Scott noted that WHO Director General Dr. Tedros Adhanom Ghebreyesus, claimed President Trump’s move to restrict travel from China at the end of January would create “fear and stigma with little health benefit.”
“When Trump did the right thing by doing the travel ban they attacked Trump for doing the wrong thing,” he said. “I asked them [the WHO] to do an investigation of China back in February … [and] if they had done their job, everyone would have gotten more ready, we wouldn’t have shut down this economy and we wouldn’t have all these people dead all over the world.”
https://www.foxnews.com/media/rick-scott-congress-investigate-who-communist-china
😉
LikeLike
Dear Diary
Saw a pic and thought of Dr. Rebane. Who else could go three weeks on a gallon of gas?
https://i2.wp.com/www.powerlineblog.com/ed-assets/2020/04/Screen-Shot-2020-04-06-at-9.45.48-PM.png?w=992&ssl=1
Did you know that in Wyoming, one does not need no stinkin’ permit to open carry. Saw this pic and thought of Scenes.
https://i2.wp.com/www.powerlineblog.com/ed-assets/2020/04/Screen-Shot-2020-04-04-at-9.23.17-AM.png?w=1000&ssl=1
I knew it, I just knew it!
https://i1.wp.com/www.powerlineblog.com/ed-assets/2020/04/Screen-Shot-2020-04-05-at-10.28.04-PM.png?w=1000&ssl=1
And just cuz:
https://i2.wp.com/www.powerlineblog.com/ed-assets/2020/04/Screen-Shot-2020-04-03-at-9.58.15-AM.png?w=1160&ssl=1
https://i1.wp.com/www.powerlineblog.com/ed-assets/2020/04/Screen-Shot-2020-04-03-at-2.12.08-PM.png?w=1138&ssl=1
LikeLike
“Saw a pic and thought of Dr. Rebane. Who else could go three weeks on a gallon of gas?”
I was wondering what happens when everybody’s gas goes bad. But then, I’m not a glass is half empty kind of guy, I’m a ‘somebody stole my glass’ person.
LikeLike