George Rebane
The newly proposed GOP tax cut has everyone talking. A couple of its main features are supposed to include switching from sequential taxing to concurrent taxing of earnings. Also discussed is the removal of certain deductions like mortgage interest paid from taxable earnings. I was interested in the impact of these two policy changes so I pushed a few squigglies, and I’ll share with you here some of the results without taking you through the weeds – BTW, nothing higher than your high school algebra is required to derive these formulas.
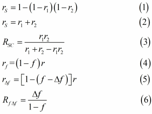
In sequential taxing, the taxing jurisdictions calculate the taxes due in sequence, the later jurisdictions applying their tax rate to the remaining earnings after you’ve paid the earlier jurisdictions. As an example, say, jurisdiction J1 (e.g. California) taxes at rate r1, and J2 (e.g. the feds) then tax the remainder at rate r2. The overall tax rate rS you pay on earnings E is given in formula (1) in the panel below.
In concurrent taxing, the jurisdictions all compute their tax take on your taxable earnings E. The overall tax rate rC you pay is then given in formula (2) above. This rate is always higher than the overall rate for sequential taxing, and the switch from sequential to concurrent is an effective tax increase RSC given by formula (3).
Say, that r1 = 0.1 (10%) and r2 = 0.2. Then from formula (1) rS = 1 – (1 – 0.1)(1 – 0.2) = 0.28 = 28%. And similarly, from formula (2) rC = 0.1 + 0.2 = 0.3 = 30%. From (3) we calculate the increase in effective tax rate as 0.1*0.2/(0.1 + 0.2 – 0.1*0.2) = 0.0714 = 7.14%.
For calculating the effective tax rate for deductions, assume that to compute your taxable earnings you can deduct a fraction f of your earnings E before applying the relevant tax rate r. Then your effective tax rate rf is given by formula (4). Now suppose that a deduction, say Δf, is no longer allowed. This reduces the fractional amount of E you can deduct to (f – Δf). Your effective tax rate is now given by formula (5). Finally, the percentage of your tax increase RfΔf through the denial of such a deduction is given by formula (6).
As an example, let f = 0.35 = 35% and Δf = 0.25, then RfΔf = 0.25/(1 – 0.35) = 0.385 = 38.5%.
You may want to enter the formulas into a spread sheet and play with the numbers to understand the real damage that such tax policy changes will deliver.


Leave a comment