George Rebane – 28aug24
Suppose parties A, favoring Trump, and B, favoring Harris want to bet on the election. And to add spice to the affair, suppose A has made known his assessed probability PA that Trump will win, but all that B has done so far is to assure everyone that Harris has the election in the bag. However, B has yet to reveal his assessed probability PB that Harris will win. How can such a bet be negotiated so that B’s real belief in Harris’ victory becomes known. Perhaps, we can let money do the talking, and see where that takes us.
Let’s say after some dickering, A and B agree in principle that the cash bet should result in the expected winnings of both parties be equal – what could be more fair than that? As usual, both parties calculate their expected winnings by multiplying their cash payoffs by their belief (probability) of their candidate’s victory. But no matter whether both use their probabilities or not, the dollar amounts of the bet are agreed on – A bets CA that B will win with Kamala’s victory, and B bets CB that A will win with Trump’s victory. The relative sizes of the amounts reflect the odds of the bet. So in principle the bet reflects the equality of expected payoffs for each party.
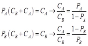
For party A: PACB = (1 – PA)CA
For party B: PBCA = (1 – PB)CB
From these two relations we can immediately estimate each party’s belief probability.
To obtain the resulting odds of the bet we solve for the ratio, say, CA/CB from each party’s perspective.
Suppose now that A has already declared his belief at PA = 0.2, indicating that Trump will probably not win. Substituting this in the above equation calculates the minimum odds A will accept at CA/CB = 0.2/(1-0.2) = 1/4. So A should be willing to accept any bet where CA ≤ 4CB.
Since it is clear from B’s ample display of TDS in which he claims that Trump will surely lose, we can safely assume that PB > PA = 0.2. So let’s say that the bet amounts were negotiated to be CA = $100 and CB = $500. This most certainly satisfies A’s required odds, and yields the pro forma estimate of PB ≥ 500/(500+100) = 0.833. From this we can conclude that B’s odds calculate to CA/CB = (1-0.833)/0.833 = 1/5, and that he will most likely not accept CB > 5CA. The negotiated amounts satisfy all these conditions, so it appears that we have a satisfactory bet and in the process have ferreted out that B’s belief in Kamala’s victory is at most 5/6 since he will not give A better odds than 5:1. Now go forth and wager prudently.




Leave a comment